C級電業工程人員註冊考試簡介

附錄II

C級電業工程人員註冊考試大綱

參考資料: 電力(線路)規例工作守則、英國電機工程師學會佈線規例、本地供電規則、電機工程手冊以及有關設計、安裝、校驗及維修電力裝置的國際標準及刊物。
  1. 一般知識

  2. 熟悉有關的本地法規及電力條例,例如有關進行定期測試及簽發證明書的規定、電業承辦商及電業工程人員的責任及註冊規定等。
  3. 對電磁場及電擊的影響、電力所引起火警的成因和預防方法,以及調查電力意外的一般認識。
  4. 對電力安全,例如進行低壓電力裝置工程時須採取的預防措施、連鎖系統、作出識別及擬備安全文件等的一般認識。
  5. 設計與應用

  6. 對各種接地系統,特別是本地的接地系統,及其優點、缺點的一般認識(例如:TT,TN-S,TN-C,TN-C-S等);適當保護導體及接地極的選擇,以及接地故障環路阻抗的計算。
  7. 各種電力變壓器及開關設備的應用、設計原理、操作原理及特性。
  8. 各種電機,例如同步電機、感應電機、交流電整流電機、直流電電機等的應用、設計原理、操作原理、特性及起動方法。
  9. 各種電纜/架空電纜的應用、特性、尺寸定位和選擇,必須適當考慮有關負載系數、不等率、功率因數、電壓降及裝置的最大需求量等因數。
  10. 影響設計電力分站、主開關房、變壓器室及緊急發電室的因素,例如間隙空間、通風設備、電力設備的配置和附件等。
  11. 對各類電路的電路安排和分隔的一般認識。
  12. 對以下各項的一般認識:配電系統,例如電力裝置的負荷估計;設計的單線圖表示法;用以應付基本負荷的各種緊急發電機的尺寸定位和選擇;功率因數的提升;電力公司的供電規則,包括計算電費、供電條件等。
  13. 不同種類電力裝置的各種保護裝置的操作原理、特性和應用;各種保護裝置的協調和區別;配電系統故障率的計算,以決定保護系統及裝置的額定值。
  14. 裝置結構的避雷保護。
  15. 由非線性負荷對供電系統所產生的影響及有關改善方法的一般認識。
  16. 照明程度的計算及各種照明設備的應用。
  17. 有關在不利條件下,例如存有水分或濕度過高、存有腐蝕性或污染物質、容易發生火警或爆炸的情況下,安裝電力裝置的規定。
  18. 安裝、測試和校驗

  19. 對線路裝置外殼,例如鋼製導管系統、鋼製線槽系統、塑膠或聚氯乙烯導管或線槽、匯流排線槽系統等的一般認識。
  20. 各種電力設備,例如發電機、變壓器、電纜/架空電纜、開關設備、馬達、電容器、保護裝置等的校驗前及校驗測試。
  21. 維修

  22. 電力裝置的故障檢修,例如故障診斷及修理方法。
  23. 預防性檢修及定期測試,例如功能檢查、線路絕緣電阻測試、馬達的運轉測試、線路保護器的斷路及操作機械裝置的檢查等。

回目錄

甲部試題樣本

1. 過流保護器件的電流額定值是

a. 該器件能持久負載而不受損的電流值。
b. 引致該器件操作的電流值。
c. 引致該器件在30分鐘內操作的電流值。
d. 等同於熔斷因數。


2. 當以載流量的考慮來決定帶電導體的大小時,基本理由是要

a. 保護由帶電導體供電的器具
b. 保護帶電導體本身。
c. 防止帶電導體的絕緣體達致太高溫度。
d. 防止系統的接地故障。


3. 在香港,用以保護低壓側總開關掣的反時限最小定限時繼電器(IDMT)的特性一般是

a. 標準類。
b. 非常反時限類。
c. 極端反時限類。
d. 上述任何一類。


4. 電路保護導體主要是用來

a. 接駁外露非帶電金屬部分至非裝置電氣金屬部分。
b. 作外露非帶電金屬部分間的連接。
c. 接駁於非裝置電氣金屬部分間,當其中之一是接地的。
d. 連接器具的外露非帶電金屬部分至總接地終端。


5. 第一級(Class1)電氣器具的防止電擊是依賴

a. 單層絕緣。
b. 雙重絕緣。
c. 單層絕緣及等電位接駁。
d. 單層絕緣及連接外露非帶電金屬部分至總接地終端。


6. 交流低壓是指在正常情況下,導體與導體間的電壓

a. 不超逾220伏特均方根(Vr.m.s.),但超逾特低壓的交流電壓。
b. 不超逾380伏特均方根(Vr.m.s.),但超逾特低壓的交流電壓。
c. 不超逾1000伏特均方根(Vr.m.s.),但超逾特低壓的交流電壓。
d. 不超逾3750伏特均方根(Vr.m.s.),但超逾特低壓的交流電壓。

7.過載電流是指

(i). 由絕緣體崩潰所引致的不正常電流。
(ii). 由相導體流向接地電流所引致的不正常電流。
(iii). 電路中的電氣短路內所出現的不正常電流。
(iv). 由相導體流向保護導體的不正常電流。

a. 全部都是
b. 祇是(iv)
c. (i)及(ii)
d. 全部都不是


8. 用來作對地漏電故障電路保護的保護導體不能是

(i) 與電纜並行的裸銅線。
(ii) 金屬導管的外部。
(iii) 裝甲電纜的鋼支裝甲。
(iv) 聚氯乙烯(PVC)導管的外部。
(v) 連接至住宅水管的裸銅線。

a. (i)及(v)
b. (iv)及(v)
c. (i)、(ii)及(iv)
d. (ii)、(iii)及(v)


9. 單相遮極感應電動機的主要優點是

(i) 扎實。
(ii) 容易使它反方向運轉。
(iii) 高效率。
(iv) 製造成本較分相感應電動機低。
(v) 低噪音。

a. (i)及(iv)
b. (iv)及(v)
c. (i)、(ii)及(iii)
d. (ii)、(iii)及(iv)


10. 在一電路上,兩串聯接駁的熔斷器能達致區別運作的條件是

(i) 上游熔斷器產生電弧前的I2t不能超逾下游串聯熔斷器總通泄能量的I2t。
(ii) 上游熔斷器應為一慢操作熔斷器,而下游熔斷器則應為一快操作熔斷器。
(iii) 當電流是整個系統的電流額定值的四倍或以上時,下游熔斷器必須能在0.2秒(s)內操作。

a. 以上全部
b. 祇有(i)
c. 祇有(ii)
d. 祇有(iii)

11. 電力裝置完工後在通電前,正確測試步驟的次序應是

(i) 絕緣電阻
(ii) 極性
(iii) 環形最終電路的電氣連續性
(iv) 電路保護導體的電氣連續性,包括主等電位接駁及輔助接駁

a. (i),(ii),(iii),(iv)
b. (ii),(iv),(i),(iii)
c. (iii),(iv),(i),(ii)
d. (iv),(iii),(i),(ii)


12. 當決定導體的大小時,通常會限制電流密度低於某一數值,這表示

a. 導體上每個單位表面面積的銅耗須低於某一數值。
b. 導體上每個單位體積的銅耗須低於某一數值。
c. 導體上每個單位表面面積的總能量損耗須低於某一數值。
d. 導體上每個單位體積的總能量損耗須低於某一數值。


13. 三相感應電動機能的輸出轉矩,是跟下列那些參數成正比的:

(i) 電動機的轉速
(ii) 由定子放出而連繫到轉子的磁通量
(iii) 轉子的電流
(iv) 定子的電流
(v) 輸入功率

a. (ii)及(iii)
b. (iii)及(v)
c. (i)、(ii)及(iv)
d. (ii)、(iii)及(v)


14. 在下列條件下結合,感應電動機能產生自起動轉矩:

(i) 有多於一相線組。
(ii) 不同相的電流必須有不同量值。
(iii) 不同相的電流必須不是同相位。
(iv) 必須有一離心式開關掣去切斷輔助線組。
(v) 相序必須正確。

a. 以上全部
b. (i)及(iii)
c. (i)、(ii)及(v)
d. (i)、(iv)及(v)


15. 兩台不同額定值的變壓器並聯運作,在下列那一情況下,各自分擔的負荷是會與額定值成正比。

a. 兩台變壓器的內阻抗數字值是相同
b. 兩台變壓器的內阻抗百份率是相同
c. 輸出的每一相都有一均衡槓連接
d. 兩台變壓器是由同一生產商製造


16. 鎢絲燈的溫升取決於:

(i) 燈的安裝位置(垂直上下、水平或傾斜)。
(ii) 電源電流的諧波量大小,即使電流的均方根值一樣。
(iii) 電源電壓的諧波量大小,即使電壓的均方根值一樣。

a. 祇有(i)
b. 祇有(ii)
c. 祇有(iii)
d. 全部都不是


17. 極數較多的感應電動機的體積,一般比同一額定功率但極數較少的感應電動機的體積大,因為:

(i) 電動機的輸出轉矩取決於電動機的體積。
(ii) 重的電動機能較易減低低頻顫動。
(iii) 極數較多的電動機,每極有較高的磁通量。
(iv) 極數較多的電動機需為增加的線組提供較多空間。

a. 以上全部
b. 祇有(i)
c. 祇有(iv)
d. (i)、(ii)及(iv)


18. 深槓式的感應電動機比標準的感應電動機優勝的地方是:

(i) 低起動電流。
(ii) 高起動轉矩。
(iii) 低製造成本。
(iv) 維修容易。
(v) 較穩定的運作點。

a. 以上全部
b. (i)及(ii)
c. (i)及(v)
d. (ii)及(iv)


19. 住宅浴室內,電路(除分隔特低壓(SELV)外)中的保護器件及接地安排應使

a. 接地故障時電流切斷時間少於5秒(sec)。
b. 接地故障時電流切斷時間少於5秒(sec),及電流額定值不超逾或等於5安培(A)。
c. 故障時電流切斷時間少於0.4秒(sec)。
d. 接地故障時電流切斷時間少於0.4秒(se),及電流額定值不超逾或等於13安培(A)。


20. 住宅廚房內有一電爐,電爐有四個爐面,總電流額定值是20安培(A),下列那點是正確的?

(i) 電爐應由一個30毫安(mA)漏電式斷路器(RCD)保護。
(ii) 電爐應由一專用的放射式最終電路供電。
(iii) 電爐應由一雙極開關掣控制。
(iv) 開關掣應安裝於電爐的2米(m)範圍內

a. 以上全部
b. (i)、(ii)及(iii)
c. (i)、(ii)及(iv)
d. (ii)、(iii)及(iv)


21. 根據英國標準BS6651所推介,對於高度超逾20米(m)的大型建築物,其防雷系統內防雷下引線的數目是

a. 沿建築物周界,每10米(m)長度有一根。
b. 沿建築物周界,每20米(m)長度有一根。
c. 在建築物頂部,每10平方米(m2)面積有一根。
d. 在建築物頂部,每20平方米(m2)面積有一根。


22. 對於由符合英國標準BS88第2部的熔斷器保護的電路,在下列那個關於保護器件的標稱電流額定值(In)、電路的設計電流(Ib)及電路上任何導體的最少載流量(It)的關係是正確的:

(i) In3Ib
(ii) Ib3It
(iii) It3In
(Iv) Ib3In

a. 祇有(i)
b. (i)及(ii)
c. (i)及(iii)
d. (ii)及(iii)


23. 在220伏特(V)電氣裝置的絕緣電阻測試時,對於相與相的測試,下列那點是正確的?

(i) 絕緣電阻不應少於500千歐姆(kW)。
(ii) 測試電壓應是1000伏特(V)。
(iii) 應隔離電子式光暗掣。
(iv) 測試時,大型電氣裝置可分為多個部分,但每部分的插座不可少於100個。

a. (i)及(ii)
b. (i)及(iii)
c. (ii)及(iii)
d. (ii)及(iv)


24. 當電纜穿過建築物結構內的伸縮縫時,

a. 電纜應記上顏色碼。
b. 電纜應繞成環狀。/li>
c. 電纜應安裝在導管內。<
d. 電纜的外殼應用防火障礙物加以密封。


25. 根據【電力(線路)規例工作守則】,當估計的正常工作溫度高於下述數值時,是不可以使用硬性聚氯乙烯(PVC)導管或線槽:

a. 40°C。
b. 60°C。
c. 80°C。
d. 100°C。


26. 下列那些方法可有效防止或減低由電纜外的熱源所引致的熱效應:

(i) 加裝隔熱屏障。
(ii) 加大電纜與熱源間的分隔距離。
(iii) 減低電纜的有效載流量。
(iv) 組合更多數目的電纜於同一外殼內。

a. (i)及(ii)
b. (ii)及(iii)
c. (iii)及(iv)
d. (i)、(ii)及(iii)


27. 對少於32毫米(mm)的導管,導管彎位的內半徑最少應是:

a. 導管內直徑的兩倍。
b. 導管外直徑的兩倍。
c. 導管內直徑的4倍。
d. 導管外直徑的4倍。


28. 下列那項照明度建議是合理的?

(i) 一間總開關掣房地面的照明度應是50勒克斯(lux)
(ii) 一間總開關掣房內器具垂直面的照明度應是120勒克斯(lux)
(iii) 一間內有閉路電視(CCTV)的保安室,工作面的照明度應是1500勒克斯(lux)

a. 以上全部
b. 祇有(i)
c. 祇有(ii)
d. 祇有(iii)


29. 下列那項是金屬鹵化物(MBI)燈比熒光燈優越的地方?

(i) 額定功率範圍較寬及較高
(ii) 光效較高
(iii) 一般顯色指數較高
(iv) 啟動時間較短
(v) 再啟動時間較短

a. 祇有(ii)
b. 祇有(iii)
c. (i)、(ii)及(iii)
d. (iii)、(iv)及(v)


30. 下列那方法可應付一大組放電燈於三相四線電路上所產生的諧波?

(i) 接駁補償功率因數電容器於電源端子上
(ii) 降低所用電纜的載流量
(iii) 確保中性導體的大小不小於相導體的大小

a. (i)及(ii)
b. (i)及(iii)
c. (ii)及(iii)
d. 以上全部都不可

回目錄

乙部試題樣本

Q1 (a) 根據「英國電機工程師學會佈線規例」內的接地安排分類法,「電力(線路)規例工作守則」所要求的本港一般電氣裝置在各種情況下,是採取那類接地安排?在設計電氣裝置時又應怎樣考慮接地安排?
(b) 有一220伏特(V)、100安培(A)的電路,其接地故障環路阻抗為1歐姆(W),試為這電路提供一個接地故障防護措施。需說明理由、假設及所需條件。
(c) 一些電力器具(如計算機工作台)可能會有較高的正常對地漏電電流,試解釋其原因。當連接這些器具,應注意甚麼事項或提供甚麼建議(尤其接地方面)。
Q2

如圖Q2所示,有一11千伏(kV)電力分站,經一個11千伏(kV)/380伏特(V)1500千伏安(kVA)變壓器,及一束380伏特(V)電纜,為一用戶提供380伏特(V)三相電力。為保護電纜及用戶,在變壓器的低壓側,經一個3000/5電流互感器(CT),裝設有一過流保護繼電器。那11千伏(kV)電力分站的預期故障水平為250兆伏安(MVA)。變壓器及電纜的電抗已在圖Q2顯示。

  1. 試算出過流保護繼電器,在380伏特(V)上任何一種故障情況下,預期所測知的最高故障電流。

  2. 若變壓器最高載流量為額定電流的1.2倍,試定出過流保護繼電器上的電流定位(PS)。

  3. 若過流保護繼電器的運作時間,在最高故障電流時,不能久於0.6秒,試定出過流保護繼電器上的時間倍數定位(TMS)。

  4. 當電流定位(PS)及時間倍數定位(TMS)如(ii)及(iii)定下時,試求出在380伏特(V)用戶總開關掣內有一接地故障時,過流保護繼電器的運作時間。

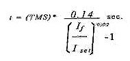
過流保護繼電器的額定電流為5安倍(A)。PS值可由50%至200%,每級為25%。TMS值可由0.1至1.0,每級為0.1。運作時間可由下列方程算出:

圖 一t=運作時間,單位為秒(sec.)
If=繼電器上的故障電流
Iset=繼電器上的電流定值。

圖 Q2
圖Q2

Q3 (a)

有四個相同的單相電路,每個電路的Ib=13安培(A),電路是使用符合英國標準BS6004無護套的單蕊70°C聚氯乙烯(PVC)絕緣銅導體電纜。電纜是安裝在導管內,及完全被長度為150毫米(mm)的隔熱物包圍。

環境溫度預計是45°C,每個電路由一個20安培(A)小型斷路器(MCB)保護,以防過載及短路。電源電壓是單相220伏特(V)。

  • 單以電流量的考慮,所使用電纜的導體截面積最小應是多少?
  • 如果電路的長度是10米(m),而到小型斷路器處的電壓降是2%。當考慮到總電壓降的要求時,上述求得的電纜大小是否仍然足夠?
(b)

有一個三房住宅單位,詳情如下:

  • 有12個照明點,每點有2個5安培(A)照明電路。
  • 有1個20安培(A)最終插座電路,這電路只供電給廚房(根據【電力(線路)規例工作守則】內6E部份)。
  • 有1個20安培(A)最終插座電路,這電路供電給客廳、飯廳、主人房、兩睡房及其他地方(根據【電力(線路)規例工作守則】內6E部份)。
  • 有1個20安培(A)最終電路,這電路供電給客廳的冷氣機,冷氣機的滿載電流是15安培(A)(根據【電力(線路)規例工作守則】內6E部份)。
  • 有2個20安培(A)最終放射型電路,這2個電路供電給飯廳、主人房、兩睡房內的冷氣機,每一冷氣機的滿載電流是8安培(A)(根據【電力(線路)規例工作守則】內6E部份)。

假設電源是單相220伏特(V),及容許有10%的後備容量。試計算出:

  • 單位的總電流需求量。
  • 總開關掣的額定值。
Q4

下述的單線圖Q4代表香港一幢工業大廈裹主要電氣的分電網的一部分。而變壓器是由電力公司供給和安裝的。

圖 Q4
圖Q4

(a) 述系統中的兩個分段開關,在對它們作出挑選、安裝、連鎖設計時,要有什麼要求,試提建議。須有簡短理由來支持你的答案。
(b) 考慮到電路F是供應消防火設備和備用電源,並連接到大廈的備用發電機。試用簡圖來陳述電源轉換是應該怎麼樣安排。
(c) 試陳述,最少可用多少個接地故障繼電器以充分保護包含備用發電機電路的全部系統。須有簡短理由來支持你的答案,並顯示這些繼電器的在圖裡面的位置。
(d) 畫出一個圖以顯示三相接地故障繼電器的變流器(CT)的接線方法。並根據這個圖,說明它的運營原理。
Q5 (a) 試解釋如何將直流電流注入感應電動機的線組,從而在無須加上任何電動機軸心負荷情況下,達致注入額定損耗到電動機裏的目的。答案須輔以實用連接方法圖。你所提議的方案的局限性是什麼?
(b)

一台永磁式發電機在13,000轉/分(rev/min)額定轉速時,輸出2安培(A)額定電樞電流至一個10歐姆(W)外接電阻。當外接電阻是短路時,在同一場電流額定值及10,000轉/分(rev/min)轉速下,發電機輸出5安培(A)電流。

這發電機是否適合用來測試一台四極、50赫茲(Hz)的感應電動機,而該感應電動機需要一峰值為0.018牛米(Nm)的轉距。答案須輔以合理解釋。

(c) 因無合適發電機可用來為一台100千瓦(kW)、四極、50赫茲(Hz)的感應電動機加上負荷,以評估該感應電動機的熱能特性,現有一提議:如圖Q5所示,該電動機須在兩電源下運作,一電源是48赫茲(Hz),另一電源是50赫茲(Hz)。先在同一圖內,粗略繪出該電動機分別在48赫茲(Hz)及50赫茲(Hz)電源下的轉距/轉速特性曲線。根據這些特性曲線,簡單解釋這線組連接方法的運作原理,並粗略推斷出這兩電源的電壓的大小。
圖 Q5
圖Q5
Q6 (a) 在香港有一幢樓宇,內有一台1500千伏安(kV)11,000/380伏特(V)變壓器作供電用。現時未有功率因數補償電容組前的總耗電量是1200千伏安(kVA)及800千瓦(kW)。電容組的價格已知是每1千乏(kVAr)為$620,折舊率是8%。試計算出系統的最經濟的功率因數,以及要達致這運行情況所需的千乏(kVAr)。電力需求收費已知是每1千伏安(kVA)為$117。
(b)

圖 Q6
圖Q6

有一個2千瓦(kW)電水煲,電源是220伏特(V)。發熱原件上發生接地故障,故障是經由水煲金屬外殼接地,位置離相終端四分一長度,如圖Q6所示。電水煲是由一個15安培(A)熔斷器保護,在47安培(A)電流情況下,熔斷器會在1秒熔斷。在33安培(A)電流情況下,在10秒熔斷。在28安培(A)電流情況下,則在1分鐘熔斷。

假設電水煲外殼與樓宇的總接地終端間的電阻(R1)是1歐姆(W)。總接地終端至電力分站的接地極間的電阻(R2)也是1歐姆(W)。不理會該供電電路上電線的電阻,以及發熱原件與接地故障點間的電阻,

  • 試計算出故障電流。
  • 試計算出水煲金屬外殼與電力分站的接地極間的電壓。
  • 試說明該熔斷器或發熱原件會否被燒掉。
Q7 (a) 試寫出電流波型的總諧波失真率(THD)的定義。
簡單地畫出一個典型的電流波型,而該電流波型只含單數諧波,但不含雙數諧波。試說明這類波型的特點。
(b) 為提高能源效益的原故,很多樓宇將鎢絲燈照明系統,轉換為附有電子鎮流器的放電燈照明系統。試說明這個轉變對樓宇內電力裝置的正負面影響,並且對負面影響提出補救建議。
(c)

試為一間課室設計一套照明系統,目標是要使離地0.9米(m)的工作面有最小600勒克斯(lux)的照明度。有關資料如下:

  • 課室大小:5米(長),10米(闊),3.4米(高)。
  • 黑板位置:在長度為5米的牆的正中,黑板高度與牆一樣。
  • 反光率:天花:0.7;牆身:0.5;地板:0.2。
  • 總光損耗因數估計是:0.78。
  • 照明器(型號:SDW236)是安裝在天花的表面。
  • 每一照明器有兩支螢光管,每支管的平均初始流明值是2500流明(lumen)。
  • 照明器的光學數據(註)。
  1. 簡單地畫出你的系統設計,包括你所提議的照明器的方位。無須對眩光指數作詳細計算,但要注意橫向與縱向眩光指數的比較值。
  2. 在你設計的系統下,課室地板上的照明度將是多少?
  3. 如果除了最近黑板的一個照明器外,其他的照明器都關掉,黑板正中央的照明度將是多少?

註:照明器的數據列載於有關試卷之附頁。

Q8

參考圖Q8,圖中負載的相導體是連接至分電箱P,而它的中性導體是連接至分電箱Q。

圖 Q8
圖Q8

(a) 計算在負載裡面的電流。
(b) 假如15O安培(A)分電箱(分電箱Q)的中性連杆被開路,試用【密爾曼定理】或其他方法,來計算出負載的中性導體的電壓。
(c) 試指出問題所在和這個連接方法的潛在危險。
(d) 假如兩個分電箱皆有電流式漏電斷路器(RCD)作保護,試陳述將有何事發生?